查看: 5945

[电商教程] 7500+字干货教程,闲鱼如何月入破万(二)

[复制链接]
wz*** 发表于 2021-11-9 13:09 | 显示全部楼层 |阅读模式
接续上篇:7500+字干货教程,闲鱼如何月入破万(一)

三:实操篇

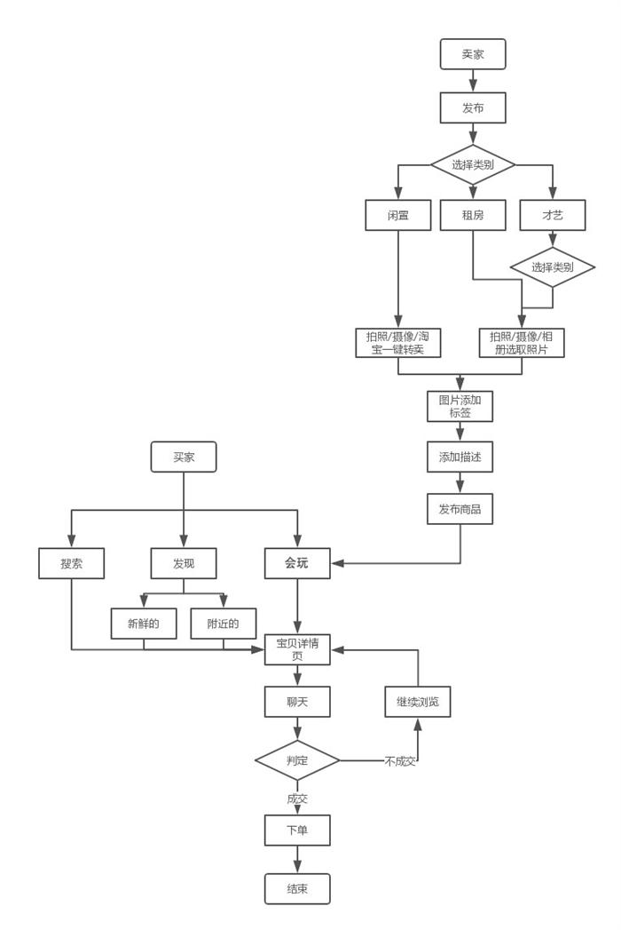
实操前,先了解闲鱼商品交易的过程,闲鱼卖家流程。

1.jpg


闲鱼卖家流程

2.jpg


闲鱼

3.jpg


前期如何选品,如何上架算是迎合天时地利,在产品上架后的运营算是人和.应该怎么做?

1.保持账户活跃度

没事就刷刷闲鱼,增加每天闲鱼的在线时间;每日签到,做每日任务赚闲鱼币;现在闲鱼有个极速卖 (闲鱼币推广),类似淘宝直通车一样的功能,但是不烧钱,只烧闲鱼币;可以指定推广商品,推广人数分为100.300.500,每人推广消费20闲鱼币,推广时间段可多选;

4.jpg


2.客服及时解答售前售后问题

(1)打开新消息通知并善用自动回复.新消息通知:我的-右上角设置-新消息通知-全部开启

5.jpg


善用自动回复,大部分客户在购买前都会习惯性问一些简单问题,为了提升工作效率,把自动回复设置好;

(2).文字要有亲和力,这一点可以参考淘宝客服,模仿她们即可;

(3).注意规避违禁词,比如:微信以及谐音字,同时也包括:v,vx,qq,QQ,手机号, 超过七位数的字母+数字,以及纯字母;通过图片的形式也不行,闲鱼对于站外引流是零容忍的,不要知法犯法;除此:客户主动找你所要联系方式,也要注意,有的同行恶意钓鱼执法,引诱你发违禁词,然后举报;

3.退款率超过10%就会降权重,所以要尽快发货

4.每天凌晨擦亮商品,能够有效的提升曝光

5.每天坚持上新,闲鱼一共能上50件商品,刚开始五天,每天上传10件商品;到了第六天,把第一天的曝光较少的商品删掉五个,重新上架;最有效提升曝光的方式就是坚持每天上新品!

(七).实操过程中,常见售后问题解答

1.客户拍下商品后,重新发布没流量,怎么回事?

客户拍下商品,立马点击重新上架,不能有任何修改,现在闲鱼管控比较严格,有一点改动商品就会被系统隐藏审核;

2.收到差评怎么办?

闲鱼搜索小黄鱼通过和别人互刷好评,把差评刷下去!

3.账户违规了,怎么办?

先去安全中心查看违规原因,如果是误判找客服申述;如果出现重大违规永久封号,每个人都有一次申诉机会,只需要联系闲鱼人工客服,去手写申诉书,并保证不会下次再犯,一两个工作日系统就会给我们解封;

6.jpg


4.怎么找到闲鱼客服?

(1)联系闲鱼客服电话:(2)打开手机淘宝-我的淘宝-官方客服-发送文字:转接人工客服(联系发三遍),连接人工客服后让她帮我们转接闲鱼客服;

5.快递单号异常怎么办?

把快递选择为其他,就可以了;

6.未发货/已发货,客户退款怎么办?

未发货客户申请退款,直接退给客户,上家那边也记得退回;已发货,态度诚恳,告诉买家宝贝已经发货了,暂时不能退款;商品到货后,可以选择拒收

7.遇到到手刀怎么处理?

直接让客户退货;这种客户很少,但遇到了很恶心,不要和他纠缠;

总结:
闲鱼无货源玩法网赚圈很多人都去做过,因为其本身的优势平台分流公平、不需要任何前期投入。低成本上手快,但是做起来的却很少,一方面是因为沉没成本低,另一方面做的人太多,不管什么项目都存在28定律,在操作过程中,难免受到负面消息影响,遇到一丁点问题就容易打退堂鼓!

如果说你现在没有月入过万的薪资,没有什么资源的普通人,那么我建议你去认认真真的去做闲鱼试一试;闲鱼无货源在现在的网赚圈仍然算是一个新手小白实操效果较好的一个项目。

最后:闲鱼低门槛不代表操作轻松,当利润过万,你的生活可能是睡醒看的是闲鱼,吃饭看的是闲鱼,睡前看的是闲鱼;祝各位财运滚滚。

作者:公子唯心 公众号:公子唯心
温馨提示:
1、本内容内由作者投稿,版权归原作者所有!
2、本站仅提供信息存储空间服务,不拥有所有权,不承担相关法律责任。
3、本内容若侵犯到你的版权利益,请联系我们,会尽快给予删除处理!
客服QQ/微信
1004169167 周一至周日:09:00 - 22:00
十五年老品牌,学习网上创业赚钱,首先启副云创,值得信赖!
众创网络 版权所有!

本站内容均转载于互联网,并不代表启副云创立场!
拒绝任何人以任何形式在本站发表与中华人民共和国法律相抵触的言论!

加入vip|手机版| 启副云创 ( 信息产业部备案号 粤ICP备2022006398号-4 )

GMT+8, 2026-5-21 17:59 , Processed in 0.094455 second(s), 28 queries , Gzip On.

快速回复 返回顶部 返回列表